首页 > 游戏攻略 > 明日方舟终末地水管铺设攻略:高效布局技巧详解

明日方舟终末地水管铺设攻略:高效布局技巧详解

时间:26-02-12

在《明日方舟:终末地》这款游戏中,水管的铺设与优化是许多管理者关心的核心问题。与常规设备不同,合理布局水管系统能显著提升资源收益。其核心机制在于水流速度的叠加:通过设置回流装置,可以实现动态增压与流量再分配,从而优化整个生产线的用水效率。下面,我们就来深入探讨一下这项技术的核心原理与实用铺设技巧。

免费影视、动漫、音乐、游戏、小说资源长期稳定更新! 👉 点此立即查看 👈

《明日方舟:终末地》水管铺设攻略解析

基础流速与堵塞原理

了解水管系统的基础规则是优化的第一步。在游戏中,武陵的水管基础流速为2,而水泵的抽水速度为1。理论上,两个水泵连接同一管道并不会导致堵塞。然而在实际铺设中,如果设置了回流节点,情况就会变得复杂。由于“终末地”中的水流本质上是无碰撞体积的粒子,其速度可以简单相加。导致输水量受限的主要原因是:单根水管存在流速上限(通常为2),一旦实际流量超过此上限,堵塞就会发生。

具体而言,当水流经过一次回流后,其下游输入口的输入速度可能会降至1/2。如果后续水流无法有效疏导,堆积的速度超过了管道承受能力,这就是堵塞产生的根本原因。

《明日方舟:终末地》水管铺设攻略

回流装置:动态增压的关键

设计回流装置最初是为了实现智能节水。在蓝图启动初期,部分设施用水量很大,但运行一段时间后,某些位置(例如液态培养基已存满或粉碎机已堵塞)就不再需要供水。回流装置的核心功能,就是构建一种动态通路,使得当一个出水口所需流量下降时,其他出水口的流量能够相应增加,从而实现水资源的再分配与压力提升,避免浪费和瓶颈。

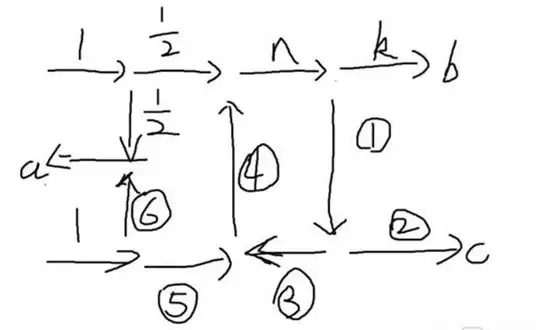
以一个基本的三口回流单元为例:左侧入口为A口,右侧上方出口为B口,右侧下方出口为C口。在理想的一般条件下,A:B:C的出水速率比为3:2:1。

《明日方舟:终末地》水管铺设攻略

通过简单计算可以发现,A口的输出恒定为1,且部分流量会回流。此时输出端B:C的比例恒定为2:1,即B口占2/3总输出,C口占1/3。然而在游戏中,堵塞是特殊情况。回流设备中的“n”值会限制B、C输出口的输出量,n最大值通常为2。此时,若要整体管道不堵塞,只需确保A口出水速度大于1/2即可。

通过调节A出口的流速,可以实现对B、C端口的增压。例如,设A初始流速为1,则B、C初始输出分别为2/3和1/3。一段时间后,若A口流速降至1/2,B、C两口的压力则可分别提升至1和1/2。

三端装置的拓展与验证

作为三端装置,我们自然可以将其拓展思考:当B口由于某些原因被限制出水量时,系统会如何变化?设想回流达到最终饱和形态。由于B口限制了出水量,总输入k不再全部从A口输出。根据系统平衡,此时C口的输出会与剩余路径分担流量。具体可分为两种情况:

  1. 情况一:A口增压较小。此时“n”值未超出上限,系统未崩溃。A口流速保持为1,B口输出为被限制的值k,C口输出为1-k。
  2. 情况二:A口增压过大。此时“n”值爆掉,A口流速小于1/2,B口输出仍为k,但C口输出变为(1-k)/2,随后管道便会发生堵塞。

我们可以代入具体数值进行验证。令k=1/2,代入情况一,此时A=1,C=1/2,则A:C=2:1。这与我们通过种植器等设施进行实际验证的结果基本吻合,证明了该模型的可靠性。

《明日方舟:终末地》水管铺设攻略

以上就是关于《明日方舟:终末地》水管铺设的核心机制与攻略思路。掌握这些流速叠加、回流增压的动态原理,能够帮助管理者更科学地规划生产线,有效避免堵塞,最大化资源利用效率。

《明日方舟:终末地》水管铺设攻略


这就是明日方舟终末地水管铺设攻略:高效布局技巧详解的全部内容了,希望以上内容对小伙伴们有所帮助,更多详情可以关注我们的菜鸟游戏和软件相关专区,更多攻略和教程等你发现!
Android
现代战争5官方版
大小:65.57MB

热搜     |     排行     |     热点     |     话题     |     标签

手机版 | 电脑版 | 客户端

湘ICP备2022003375号-1

本站所有软件,来自于互联网或网友上传,版权属原著所有,如有需要请购买正版。如有侵权,敬请来信联系我们,cn486com@outlook.com 我们立刻删除。